
Arbutin: Chất làm sáng da bí mật mà bạn chưa từng nghe đến
Các bác sĩ da liễu cho thấy đây là bí quyết để có làn da bật tông.
Trong khi nhiều người cho rằng nếp nhăn là mối quan tâm lớn nhất của da khi nói đến lão hóa, thì có người lại lo lắng một điều khác hơn - làn da không đều màu. Các đốm đồi mồi và kết cấu da hồng hào thực sự có thể khiến bạn già đi nhiều hơn là nếp nhăn và vết chân chim. Mặc dù rất nhiều sản phẩm có tác dụng làm sáng, đều màu và thêm độ sáng, nhưng chúng có thể gây hại cho da hoặc làm khô da đối với những người có làn da nhạy cảm — đó là lý do tại sao chúng tôi cực hài lòng về thành phần làm sáng da an toàn cho mọi loại da này.
Xin được giới thiệu về arbutin, một chất làm sáng da bí mật mà bạn có thể chưa từng nghe đến. Vitamin C, axit kojic và cam thảo đều là những chất làm sáng da tự nhiên tuyệt vời, nhưng có một số lý do khiến arbutin đánh bại chúng. Chúng tôi đã nói chuyện với bác sĩ da liễu Michael Lin, MD, người có thực hành riêng của mình ở LA; Y. Claire Chang, MD, bác sĩ da liễu thẩm mỹ được hội đồng chứng nhận tại Union Square Laser Dermatology ở NYC; và Ginger King, một nhà hóa mỹ phẩm và là chủ tịch của Grace Kingdom Beauty; yêu cầu họ cung cấp cho chúng tôi 411 trên arbutin.
- Loại Thành Phần: Chất làm trắng
- Tác Dụng Chính: Làm mờ vết thâm, giảm sự xuất hiện của sẹo mụn, giúp làm đều màu da.
- Dùng Cho Ai: Arbutin nói chung an toàn cho mọi loại da
- Liều Lượng Dùng: Arbutin có thể được sử dụng 2 lần/ngày. Nó là an toàn để áp dụng trên da sạch với các loại kem và huyết thanh khác. Nó cũng có thể được sử dụng vào mùa hè vì không làm cho da nhạy cảm hơn với ánh nắng mặt trời.
- Có Thể Kết Hợp Với: Vitamin C, AHAs
- Tránh Kết Hợp Với: Mặc dù không có tương tác tiêu cực nào được biết đến với các thành phần chăm sóc da khác, nhưng nhiệt có thể làm giảm hiệu quả của arbutin.
Arbutin là gì?
Lin giải thích: “Arbutin là một phân tử được chiết xuất từ cây bearberry có tác dụng ngăn chặn sự hình thành sắc tố melanin. Ông so sánh arbutin với hai chất làm sáng nhẹ khác: axit kojic (có nguồn gốc từ nấm) và rễ cam thảo (có nguồn gốc từ cây cam thảo). Ông nói: “[Chúng] có nguồn gốc từ các thành phần tự nhiên khác nhau, nhưng tất cả đều hoạt động như chất ức chế tyrosinase để cung cấp hiệu ứng làm sáng và làm sáng da,” ông nói. Về cơ bản, các đốm nâu xuất phát từ các sắc tố được tạo ra trong các tế bào gọi là tế bào hắc tố, chứa các enzym gọi là tyrosinase.
Chúng có thể kích hoạt bất cứ lúc nào chúng tiếp xúc với tia UV, đó là lý do tại sao bạn sẽ nhận thấy tàn nhang và đốm nắng bắt đầu phát triển nếu bạn tiếp xúc quá lâu dưới ánh nắng mặt trời. Đó là khi arbutin xuất hiện — nó ngăn chặn tyrosinase và ngăn chặn các đốm đen.
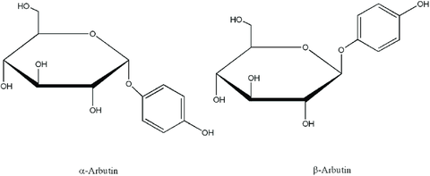
Tuy nhiên, điều quan trọng là phải biết cách phân biệt giữa alpha-arbutin (thứ tốt) và các thành phần có âm thanh tương tự khác, King lưu ý. "Có beta-arbutin, là một phiên bản rẻ tiền và không ổn định, do đó, điều quan trọng là phải phân biệt các dạng arbutin", cô lưu ý
Lợi ích của Arbutin đối với da
- Có đặc tính chống nắng: Arbutin có thể làm giảm mức độ sạm da sau khi tiếp xúc với ánh nắng mặt trời bằng cách ngăn chặn việc sản xuất tyrosinase.
- Nhẹ nhàng trên da: Trong khi các chất làm sáng da khác có thể làm khô và kích ứng da, thì arbutin ít gây kích ứng hơn. Lin nói: “Vì thành phần hoạt tính của arbutin được giải phóng chậm nên nó có thể ít gây kích ứng hơn các chất làm sáng da khác và tốt hơn cho những bạn có làn da nhạy cảm”.
- Cải thiện làn da không đều màu: Vì arbutin ức chế tyrosinase, một loại enzym giúp sản xuất melanin, nó có thể ngăn ngừa các đốm đen hoặc thậm chí giúp làm mờ chúng, giúp cho làn da đều màu hơn.
- An toàn khi sử dụng với các sản phẩm chăm sóc da khác: Không có bất kỳ tương tác tiêu cực nào giữa arbutin và các thành phần chăm sóc da khác.
- Có thể sử dụng hai lần mỗi ngày: Để có kết quả tối đa, có thể sử dụng arbutin vào cả buổi sáng và buổi tối.
- An toàn hơn hydroquinone: Trong một thời gian, hydroquinone là thành phần làm sáng da “thần kỳ” - cho đến khi nó được FDA tuyên bố là chất gây ung thư (khi dùng bằng đường uống, thay vì bôi tại chỗ). Trong khi hydroquinone hoạt động bằng cách giết chết các tế bào sản xuất sắc tố và melanin, thì arbutin lại ức chế các enzym kích thích tế bào sản xuất sắc tố.
- Hiệu quả trong việc làm mờ sẹo: Giống như khả năng làm mờ vết thâm, arbutin cũng rất tốt trong việc làm mờ những vết sẹo mụn màu đỏ tím bám lâu sau khi hết mụn.
- Làm sáng da: Như đã giải thích ở trên, arbutin ngăn chặn sự hình thành các đốm đen, mang lại hiệu quả làm sáng da.
Tác dụng phụ của Arbutin
Trước khi đi mua các sản phẩm arbutin dành cho da, bạn nên biết điều này: Đã có một số người lo lắng về arbutin, vì những lợi ích làm sáng da tương tự của nó với hydroquinone. Tuy nhiên, các nghiên cứu về arbutin đều khẳng định chắc chắn rằng nó là một “thành phần an toàn và hiệu quả để làm sáng da”.
Lin nói: “Arbutin có trong một số sản phẩm chăm sóc da được thiết kế để cải thiện sắc tố. “Sử dụng các sản phẩm này thường xuyên trong thói quen sẽ cải thiện làn da của bạn.” Một điều anh ấy lưu ý là arbutin có thể là một cách tuyệt vời để làm sáng sẹo mụn - anh ấy khuyên bạn nên sử dụng các phương pháp điều trị mụn với các thành phần tự nhiên và arbutin, như Hệ thống làm sạch mụn 2 bước của dòng cùng tên (46 đô la), để làm sáng các vết thâm sau đó mụn giảm dần.
Cách sử dụng
Chang nói: “Arbutin có thể được sử dụng hai lần mỗi ngày. "Bởi vì arbutin có xu hướng nhẹ nhàng, nó có thể được sử dụng kết hợp với các thành phần làm sáng da khác, như lột tẩy hóa học và retinols." Cô ấy khuyên bạn nên sử dụng arbutin hai lần mỗi ngày sau khi rửa mặt, nhưng trước bất kỳ loại kem dưỡng ẩm nặng nào
“Bạn sẽ ngạc nhiên khi thấy arbutin có mặt trong nhiều sản phẩm chăm sóc da hiện có của bạn, đặc biệt là các sản phẩm làm sáng da,” Chang tiếp tục. Trong khi arbutin chủ yếu có trong huyết thanh chăm sóc da, nó cũng là một thành phần siêu sao trong mặt nạ ban đêm và kem cấp nước.
King nói rằng tốt nhất nên trộn arbutin với các thành phần khác mang lại hiệu quả làm sáng tương tự, chẳng hạn như vitamin C và AHA, nhưng hãy thận trọng khi thử bất kỳ sản phẩm mới nào. "Khi ở độ pH cao, [arbutin] sẽ giải phóng hydroquinone, nhưng may mắn thay, hầu hết các sản phẩm chăm sóc cá nhân đều có độ pH trung tính", King cảnh báo. Nói cách khác, "arbutin nói chung là an toàn nhưng một số người có thể nhạy cảm với nó", cô nói thêm.